Universal Cup Judging System

Universal Cup

حد الوقت: 4.0 s حد الذاكرة: 128 MB مجموع النقاط: 100 قابلة للهجوم ✓
الإحصائيات

請注意本題有特殊的記憶體限制。

BaoBao 有一棵包含 $n$ 個頂點的樹。起初,樹上的所有邊皆為黑色。BaoBao 喜歡在樹上進行塗色與計數,因此他將執行 $(n - 1)$ 次塗色操作。在第 $i$ 次操作中,他會將第 $q_i$ 條邊塗成紅色。顯然,在所有操作完成後,所有的邊都會變成紅色。

你的任務是計算在每次操作後,樹中有多少條簡單路徑恰好包含 $k$ 條黑色邊。請注意,我們將從頂點 $u$ 到 $v$ 的簡單路徑與從頂點 $v$ 到 $u$ 的簡單路徑視為同一條路徑。

回顧簡單路徑的定義:簡單路徑是指不重複經過同一條邊的路徑。

輸入格式

每個測試檔案僅包含一組測試資料。

第一行包含兩個整數 $n$ 與 $k$ ($2 \le n \le 2 \times 10^5$, $1 \le k \le 10$),分別代表樹的頂點數量以及我們所要計算的路徑中黑色邊的數量。

接下來的 $(n - 1)$ 行,第 $i$ 行包含兩個整數 $u_i$ 與 $v_i$ ($1 \le u_i, v_i \le n$),代表樹中的第 $i$ 條邊連接頂點 $u_i$ 與 $v_i$。

接下來的 $(n - 1)$ 行,第 $i$ 行包含一個整數 $q'_i$ ($1 \le q'_i < n$),代表 BaoBao 所塗色的第 $i$ 條邊的編碼索引。$q_i$ 的真實值等於 $((q'_i + a_{i-1}) \pmod{n - 1}) + 1$,其中 $a_{i-1}$ 是第 $(i - 1)$ 次查詢的答案。特別地,我們定義 $a_0$ 為在 BaoBao 塗色前,樹中恰好包含 $k$ 條黑色邊的簡單路徑數量。透過這些編碼後的查詢,你必須在處理下一個查詢前計算出當前查詢的答案。保證 $q_1, q_2, \dots, q_{n-1}$ 為 $1, 2, \dots, n - 1$ 的一個排列。

輸出格式

輸出 $(n - 1)$ 行,其中第 $i$ 行包含一個整數,代表第 $i$ 次操作後,樹中恰好包含 $k$ 條黑色邊的簡單路徑數量。

範例

範例 1

6 1
4 6
4 2
4 3
5 6
1 2
4
2
1
2
3
5
7
8
8
0

範例 2

6 2
4 6
4 2
4 3
5 6
1 2
2
5
5
4
3
5
4
2
0
0

說明

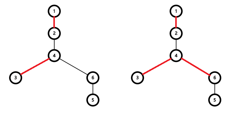
對於第一個範例測試資料,$q_1, q_2, q_3, q_4, q_5$ 的真實值分別為 $5, 3, 4, 1, 2$。左圖顯示了前兩次操作後的樹。黑色邊以較細的線條表示,紅色邊以較粗的線條表示。

令 $u \to v$ 為從頂點 $u$ 到 $v$ 的簡單路徑。恰好包含一條黑色邊的簡單路徑有:$1 \to 3, 1 \to 4, 2 \to 3, 2 \to 4, 3 \to 6, 4 \to 6, 5 \to 6$。

對於第二個範例測試資料,$q_1, q_2, q_3, q_4, q_5$ 的真實值分別為 $3, 1, 5, 2, 4$。右圖顯示了前三次操作後的樹。

恰好包含兩條黑色邊的簡單路徑有:$1 \to 5, 2 \to 5$。

Discussions

About Discussions

The discussion section is only for posting: General Discussions (problem-solving strategies, alternative approaches), and Off-topic conversations.

This is NOT for reporting issues! If you want to report bugs or errors, please use the Issues section below.

Open Discussions 0
No discussions in this category.

Issues

About Issues

If you find any issues with the problem (statement, scoring, time/memory limits, test cases, etc.), you may submit an issue here. A problem moderator will review your issue.

Guidelines:

  1. This is not a place to publish discussions, editorials, or requests to debug your code. Issues are only visible to you and problem moderators.
  2. Do not submit duplicated issues.
  3. Issues must be filed in English or Chinese only.
Active Issues 0
No issues in this category.
Closed/Resolved Issues 0
No issues in this category.