Universal Cup Judging System

Universal Cup

Time Limit: 4.0 s Memory Limit: 128 MB Total points: 100 Hackable ✓
Statistics

BaoBao posiada drzewo o $n$ wierzchołkach. Początkowo wszystkie krawędzie drzewa są czarne. BaoBao wykona $(n - 1)$ operacji malowania. W $i$-tej operacji pomaluje $q_i$-tą krawędź na czerwono. Oczywiste jest, że po wszystkich operacjach wszystkie krawędzie staną się czerwone.

Twoim zadaniem jest obliczenie, ile prostych ścieżek w drzewie zawiera dokładnie $k$ czarnych krawędzi po każdej operacji. Zauważ, że ścieżkę prostą od wierzchołka $u$ do $v$ oraz od wierzchołka $v$ do $u$ traktujemy jako tę samą ścieżkę.

Przypomnijmy, że ścieżka prosta to ścieżka, która nie przechodzi przez tę samą krawędź wielokrotnie.

Wejście

W każdym pliku wejściowym znajduje się tylko jeden zestaw danych.

Pierwsza linia wejścia zawiera dwie liczby całkowite $n$ oraz $k$ ($2 \le n \le 2 \times 10^5$, $1 \le k \le 10$), oznaczające liczbę wierzchołków w drzewie oraz liczbę czarnych krawędzi, które zliczamy na ścieżkach.

W kolejnych $(n - 1)$ liniach, $i$-ta linia zawiera dwie liczby całkowite $u_i$ oraz $v_i$ ($1 \le u_i, v_i \le n$), oznaczające, że $i$-ta krawędź w drzewie łączy wierzchołki $u_i$ oraz $v_i$.

W kolejnych $(n - 1)$ liniach, $i$-ta linia zawiera liczbę całkowitą $q'_i$ ($1 \le q'_i < n$), oznaczającą zakodowany indeks $i$-tej krawędzi, którą maluje BaoBao. Rzeczywista wartość $q_i$ jest równa $((q'_i + a_{i-1}) \pmod{n - 1}) + 1$, gdzie $a_{i-1}$ to odpowiedź na $(i - 1)$-sze zapytanie. W szczególności, definiujemy $a_0$ jako liczbę prostych ścieżek w drzewie, które zawierają dokładnie $k$ czarnych krawędzi przed malowaniem przez BaoBao. Dzięki zakodowanym zapytaniom jesteś zmuszony obliczyć odpowiedź na każde zapytanie przed przetworzeniem następnego. Gwarantuje się, że $q_1, q_2, \dots, q_{n-1}$ jest permutacją liczb $1, 2, \dots, n - 1$.

Wyjście

Wypisz $(n - 1)$ linii, gdzie $i$-ta linia zawiera liczbę całkowitą wskazującą liczbę prostych ścieżek z dokładnie $k$ czarnymi krawędziami po $i$-tej operacji.

Przykład

Wejście 1

6 1
4 6
4 2
4 3
5 6
1 2
4
2
1
2
3

Wyjście 1

5
7
8
8
0

Wejście 2

6 2
4 6
4 2
4 3
5 6
1 2
2
5
5
4
3

Wyjście 2

5
4
2
0
0

Uwagi

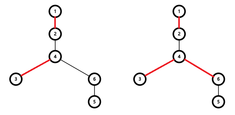
Dla pierwszego przypadku testowego, rzeczywiste wartości $q_1, q_2, q_3, q_4, q_5$ to odpowiednio 5, 3, 4, 1, 2. Drzewo po pierwszych dwóch operacjach pokazano po lewej stronie. Czarne krawędzie przedstawiono cieńszymi liniami, podczas gdy czerwone krawędzie przedstawiono grubszymi liniami.

Niech $u \to v$ oznacza prostą ścieżkę od wierzchołka $u$ do $v$. Proste ścieżki zawierające dokładnie jedną czarną krawędź to: $1 \to 3, 1 \to 4, 2 \to 3, 2 \to 4, 3 \to 6, 4 \to 6, 5 \to 6$.

Dla drugiego przypadku testowego, rzeczywiste wartości $q_1, q_2, q_3, q_4, q_5$ to odpowiednio 3, 1, 5, 2, 4. Drzewo po pierwszych trzech operacjach pokazano po prawej stronie.

Proste ścieżki zawierające dokładnie dwie czarne krawędzie to: $1 \to 5, 2 \to 5$.

Discussions

About Discussions

The discussion section is only for posting: General Discussions (problem-solving strategies, alternative approaches), and Off-topic conversations.

This is NOT for reporting issues! If you want to report bugs or errors, please use the Issues section below.

Open Discussions 0
No discussions in this category.

Issues

About Issues

If you find any issues with the problem (statement, scoring, time/memory limits, test cases, etc.), you may submit an issue here. A problem moderator will review your issue.

Guidelines:

  1. This is not a place to publish discussions, editorials, or requests to debug your code. Issues are only visible to you and problem moderators.
  2. Do not submit duplicated issues.
  3. Issues must be filed in English or Chinese only.
Active Issues 0
No issues in this category.
Closed/Resolved Issues 0
No issues in this category.